Progression of cognitive decline before and after incident stroke
Artical link and highlight by NEJM watch
Fanfan Zheng, Li Yan, Baoliang Zhong, Zhenchun Yang, and Wuxiang Xie
Abstract
Objective
To determine the trajectory of cognitive decline before and after incident stroke.
Methods
By using data from the English Longitudinal Study of Ageing, we studied 9,278 participants without dementia with no history of stroke who underwent cognitive assessment at baseline (wave 1) and at least 1 other time point (waves 2–7). We used linear mixed models to analyze repeated measures and longitudinal data.
Results
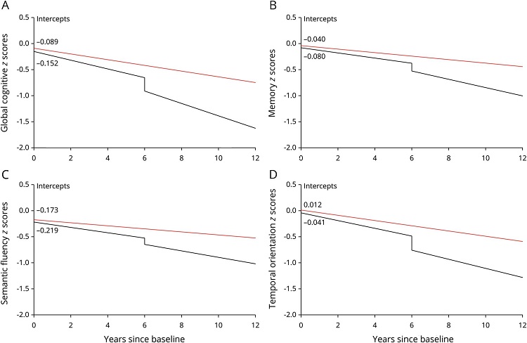
Among the 9,278 participants (56.8% women, mean age 63.1 ± 10.3 years), 471 (5.1%) incident stroke events were identified. Compared with stroke-free participants, multivariable-adjusted rates of prestroke cognitive decline in global cognition, memory, semantic fluency, and temporal orientation of participants who later experienced an incident stroke were increased by -0.029 , -0.016, -0.022, and -0.024 SD/y, respectively. Among the 471 stroke survivors, the multivariable-adjusted acute changes in the 4 cognitive domains were -0.257, -0.150, -0.121, and -0.272 SD, respectively. In the years after stroke, global cognition declined over time and was steeper than its prestroke slope, that is, by .0.064 SD/y after multivariable adjustment. The rates of memory, semantic fluency, and temporal orientation decline were -0.046, -0.033, and -0.037 SD/y, respectively.
Conclusions
Accelerated prestroke cognitive decline and poststroke cognitive decline were associated with incident stroke over a follow-up period of 12 years. Attention should be paid to the long-term cognitive problems of stroke survivors, and intervention and management of major vascular risk factors should start from early life or midlife to reduce the risk of cerebrovascular disease and the associated cognitive impairment.
![]() |
Figure 1Flow chart of participant selection for the present study population |
|
|
Figure 2Predicted mean change in cognitive z scores (SD) before and after an incident stroke at year 6. (A–D) Predicted values of cognitive function were calculated for a 70-year-old woman with a body mass index of 28 kg/m2, education less than national vocational qualification 3/General Certificate of Education A level, alcohol consumption of ≥1 drink per week, living with spouse, and hypertension but without depressive symptoms, current smoking, diabetes mellitus, coronary heart disease, chronic lung disease, asthma, or cancer. Red lines represent the trajectory for stroke-free participants; black lines represent the trajectory for participants with incident stroke.
|


